다중공선성(multicollinearity)이란 회귀분석에서 독립변수들 간에 강한 상관관계가 있을 때 발생하는 문제이다.
이러한 상황은 변수 간의 관계가 너무 밀접하여 어떤 변수의 효과가 다른 변수의 효과로부터 구분되기 어렵게 만든다.
이는 데이터에 대한 해석을 어렵게 만들기에 반드시 해결해야되는 문제이다.

예시

예를 들어, 부동산 가격 예측 모델을 만든다고 가정해보자. 이 모델의 독립변수로 집의 크기(제곱미터), 방의 개수, 그리고 화장실의 개수를 사용한다고 할때, 집의 크기가 커질수록 방의 개수와 화장실의 개수도 보통 증가한다는 사실을 고려하면 이 세 변수 간에는 높은 상관관계가 있을 것이다. 이러한 상황에서 다중공선성 문제가 발생할 수 있으며, 모델의 계수 추정치가 불안정해질 수 있다.
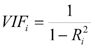
다중공선성 진단
다중공선성 문제를 진단하기 위한 한 가지 방법은 분산팽창계수(Variance Inflation Factor, VIF)를 계산하는 것이다. VIF 값이 10 이상이면 해당 변수는 다른 변수들과 높은 상관관계를 가진다고 해석할 수 있으며 다중공선성 문제가 있을 가능성이 높다.

해결 방법
- 변수 제거: 높은 상관관계를 가진 변수 중 하나를 제거한다. 예를 들어, 집의 크기와 방의 개수가 높은 상관관계를 보인다면 두 변수 중 하나만 모델에 포함시킬 수 있다.
- 주성분 분석(PCA): 주성분 분석을 사용하여 상관관계가 높은 변수들을 적은 수의 주성분으로 요약할 수 있다. 이 방법을 통해 정보 손실을 최소화하면서 다중공선성 문제를 완화할 수 있다.
- 정규화: 릿지 회귀(Ridge Regression), 라쏘 회귀(Lasso Regression)와 같은 정규화 기법을 사용하여 모델의 복잡성을 제한함으로써 다중공선성 문제에 대처할 수 있다. 이 방법들은 변수의 계수 추정치에 패널티를 부여하여 과도하게 큰 계수 값을 억제한다.
이렇게 다중공선성 문제는 회귀분석을 수행할 때 흔히 마주치는 문제 중 하나이다.
이를 해결하기 위해선 데이터를 면밀히 검토하고 적절한 방법을 선택해야 할 것이다!
'IT > 데이터분석 도전하기' 카테고리의 다른 글
| cifar10 데이터 load 오류 해결하는 법 (0) | 2024.02.26 |
|---|---|
| [상관계수] 피어슨 상관계수와 스피어만 상관계수의 이해: 언제 어떤 것을 사용해야 할까? (0) | 2024.02.20 |
| [데이터 분석] 데이터 분석 기본 과정 (0) | 2024.02.02 |
| [인코딩] 원핫 인코딩(One-Hot Encoding) / 라벨 인코딩(Label Encoding) (0) | 2024.01.30 |
| [데이터 정제] 데이터 정규화(Normalization) 및 표준화(Standardization) (0) | 2024.01.29 |